HILIC UPLC-MS方法在极性粪便代谢组谱分析中的应用与开发
粪便代谢组学指的是通过分析人体排泄物中的代谢产物来研究 人体代谢的方法。随着人们对肠道微生物的了解越来越深入,粪便代 谢组学已成为研究肠道微生物与人体健康关系的重要手段之一。通过 粪便代谢组学,可以发现肠道微生物与肠道功能紊乱、肥胖、炎症性 肠病、自闭症等疾病的关联,为疾病的早期诊断和治疗提供了重要的 参考依据。同时,粪便代谢组学还可以应用于营养学、药物代谢学、 毒理学等领域的研究。粪便代谢组学的研究方法主要包括代谢产物分 析、微生物组成分析、功能预测和生物信息学分析等。随着技术和数 据的不断发展,粪便代谢组学在人体健康研究中的应用前景将越来越 广阔。
2019年Nina Sillner等人发表的《HILIC UPLC-MS方法在极性粪便代谢物谱的应用和开发》 (Development and application of a HILIC UHPLC-MS method for polar fecal metabolome profiling)的文章,研究了如何通过亲水相互作用液相色谱(HILIC)超高效液相色谱-质谱(UHPLC-MS)方法进行粪便的非靶向代谢组学分析。
研究概述
这篇文章中粪便代谢组学研究的难点在于大多数生物混合物含有大量极性代谢物,这些代谢物无法在反相液相色谱(RP)固定相上保留。HILIC虽然在尿液和血浆中常用于分析极性化合物,但在代谢组学中的应用仍具有挑战性,因为它不如反相RP色谱重复性好,且需要更长的平衡时间。
目前只有少数研究使用HILIC分析粪便样本,且大多与反相RP色谱分析结合使用。现有的研究主要集中在已知目标代谢物的HILIC-MS/MS方法优化,而非靶向代谢组学分析中不同HILIC色谱柱和色谱条件在此之前比较未见报道。
这篇文章的研究系统地比较了三种不同的HILIC柱(两性离子型、酰胺基型和未键合硅胶型)在不同pH值(酸性、中性和碱性)和盐梯度条件下的性能,;研究涵盖了150种内源性化合物和婴儿粪便样本,评估了这些化合物在不同条件下的检测数量、同分异构体的分离、色谱运行中的分布和精度;通过实验找到了最适合非目标代谢组学分析的HILIC方法,特别是在酸性条件下使用两性离子型 iHILIC Fusion柱,在酸性条件下,iHILIC Fusion柱表现出最高的检测标准和代谢物特征数量,并且在整个色谱运行中具有良好的特征分布和精度;研究结果表明,iHILIC Fusion柱在酸性条件下对氨基酸和碳水化合物的覆盖效果最佳,而BEH Amide柱在碱性条件下对胺类和脂肪酸的覆盖效果较好。
当然,这个研究由于pH耐受性的限制,无法在碱性条件下对所有柱进行详细比较;虽然增加盐梯度浓度可以提高检测标准品的数量,但在非目标分析中会增加代谢物特征的数量,这可能会增加残留风险,尤其是在使用两性离子型HILIC色谱柱时,尽管非靶向分析的结果非常有前景,但需要更多的研究来验证这些发现,并进一步优化色谱条件和分析方法。
研究方法
这篇文章提出了一种基于HILIC-UHPLC-MS的方法,用于粪便的非靶向代谢组学分析,具体包含以下几个方面:
- 色谱柱选择:比较了三种不同化学机制的HILIC色谱柱:带电荷的两性离子型羟乙基酰胺HILIC柱(iHILIC®-Fusion UHPLC柱)、
乙烯桥联杂化(BEH)酰胺柱(BEH Amide柱)和未键合的硅胶柱(CORTECS HILIC柱)。
- pH值和缓冲盐梯度条件:在不同pH值(酸性、中性和碱性)和缓冲盐梯度条件(5-5、5-10和5-25 mM乙酸铵)下运行这些色谱柱。
- 数据处理和分析:使用Genedata Refiner MS软件处理原始LC-MS数据,包括化学噪声去除、强度截止过滤、校准、色谱峰拾取、去同位素、空白扣除和代谢物库搜索。使用ClassyFire Batch对代谢物亚类进行分类,并使用InChIKey信息进行标准分类。
实验设计
- 样本准备:从婴儿粪便样本中提取代谢物,制备一个混合的甲醇粪便提取物(n=468),并在40°C下蒸发至干,然后用75%乙腈复溶以进行HILIC-MS分析。
- LC-MS条件:使用maXis飞行时间质谱仪和Acquity UHPLC系统进行分析。质谱采用正负电离模式(±ESI),氮气流速为10L/min,干燥加热器温度为200°C,雾化器压力为2.0 bar,毛细管电压为4500 V。数据采集采用线性和剖面模式,采集速率为5Hz,质量范围为50-1500 Da。
- 比较色谱柱:比较了三种不同的HILIC柱:iHILIC®-Fusion UHPLC column, SS, 100 × 2.1 mm, 1.8 μm, 100 Å(HILICON );
(ACQUITY UPLC BEH Amide column, 100 × 2.1 mm, 1.7 μm, 130 Å, (Waters);CORTECS UPLC HILIC column,100 × 2.1 mm, 1.6 μm, 90 Å( Waters)
- 色谱条件:调整盐溶液的pH值为4.6(酸性)、6.8(中性)或9.0(碱性)。移动相由5mM乙酸铵溶解在95%乙腈中(A)和5、10或25 mM乙酸铵溶解在5%乙腈(B)组成。洗脱代谢物时使用0.5mL/min的流速,0.1-99.9%的B相梯度持续7.5分钟。0.1%B预运行时间5分钟后,以0.1%B保持运行2min,7.5min内梯度增加至99.9%B.99.9%B保持恒定2.5分钟,快速下降到0.1%B运行0.1min。柱温箱温设置为40°C,通过不充满定量环(10μL)注入1μL样品。分别用95%乙腈和10%乙腈进行弱和强冲洗。
结果与分析
-
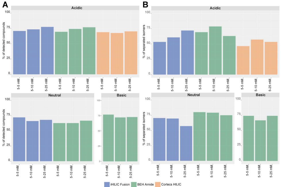
标准品检测:在酸性或碱性pH条件下,检测到的代谢物数量较高(平均分别为71.9%和73.8%),而在中性pH条件下仅为66.3%。
但在pH值为9时,可供比较的柱子类型有限(只有BEH酰胺柱)。在酸性条件下,盐梯度的增加提高了所有机理色谱柱的检测化合物数量,检出数量最高值为iHILIC Fusion和BEH Amide在5-25 mM NH4Ac条件下的77.3%。与 Cortecs HILIC相比,iHILIC Fusion色谱柱和BEH酰胺柱有更高的信噪比。
-
同分异构体分离和选择性:在所有测试条件下,几乎所有的同分异构体对都达到了50%以上的分离度,除了CORTECS HILIC在pH 4.6和5-5 mM NH4Ac条件下的情况。BEH Amide在酸性条件下表现良好,而iHILIC Fusion在碱性条件下表现出色。总的来说,在碱性和酸性pH值下,我们观察到较高的代谢物亚类覆盖率,使用在iHILIC Fusion柱在酸性pH值下或者使用BEH酰胺柱在碱性pH值下能拥有最好的代谢物类别检出率。

-
保留时间和精度:
优选的情况,应在整个保留时间轴上有统一的保留时间分布,并在空隙体积中检测到尽可能少的化合物。iHILIC Fusion在酸性条件下表现出最佳的保留时间分布和精度,正模式下密度在0-2.5分钟之间最低,在2.5-7分钟之间最高。三次重复注射的精度总体良好,酸性条件下和5-25 mM NH4Ac浓度的iHILIC Fusion表现最佳。
-
非靶向分析:在18种不同的HILIC条件下,BEH Amide在碱性pH和5-25 mM NH4Ac条件下提供了最多的代谢物特征(正模式:4026个,负模式:1045个)。大多数的代谢物类别都能检测出来。有趣的时,在PH值为4.8时,增加醋酸铵的浓度,代谢物的检出数量减少,而在PH值为9时,结果相反。正模式下检测到的代谢物特征数量远高于负模式。总的来说,在正模式下检测到的粪便代谢物数量要高得多,这依赖于色谱条件的设置。我们选择了用ClassyFire批重新分类HMDB注释特征物对于使用HMDB的注释的,我们只使用同位素聚类特征。在这里,使用iHILIC Fusion得到了HMDB注释特征物的最大数量,在酸性pH值,5-5mM醋酸铵正向模式下,获得493个注释物,在150个标准品中,大约有50个在酸性和碱性pH值下被证明存在于粪便样品种。在中性pH值下,BEH酰胺柱发现约小于30个,而 iHILICFusion约发现40个。

总体结论
本文比较了三种不同的机理的亲水作用HILIC色谱柱在酸性、中性和碱性pH以及增加的缓冲盐梯度条件下的性能。评估了这些条件在检测特征数量、同分异构体分离、色谱运行中的分布和精度方面的表现。主要目标是找到一种覆盖粪便中极性代谢物最广的HILIC方法。结果表明,两性离子型的亲水作用 iHILIC Fusion色谱柱在酸性条件下提供了最佳的检测特征数量和代谢物类别覆盖率,适用于未来的非靶向代谢组学研究。
英文原文链接:Development and application of a HILIC UHPLC-MS method for polar fecal metabolome profiling
中文原文链接:HILIC UPLC-MS方法在极性粪便代谢物谱的应用和开发
PS:整理此篇应用文章时发现一个不错的免费代谢物库网站,有兴趣可看:http://www.fecalmetabolome.ca
本文由AI生成,经Ruby Cai审阅修改。
文中iHILIC Fusion色谱柱等产品咨询订购:
安研易创(上海)生化技术有限公司(Innosabiochem)
电话:+8613585814054/13564039806
网站:www.innosabiochem.com
HILIC UPLC-MS方法在极性粪便代谢组谱分析中的应用与开发
这篇论文通过系统的实验设计和数据分析,为粪便代谢组学研究提供了重要的参考和方法指导。